Research
TopicsNewsInteractiveFunding
09 Jan 2022
Experiment and theory show that electron emission angles depend on energy:
Nonadiabatic Strong Field Ionization of Atomic Hydrogen
Electrons leaving from a laser-ionized atom are pulled back somewhat by the attractive Coulomb force and this causes a distortion of the photoelectron momentum distribution, usually quantified in terms on a attoclock angle αoff. Experiments at the University of Frankfurt and comparison with our calculations show for the first time that this angle is strongly dependent on the electron energy. See our paper for the details.
07 Dec 2019
Focusing changes the phase of an electron wave:
Gouy's Phase Anomaly in Electron Waves Produced by Strong-Field Ionization
According to quantum mechanics, electrons have wave character as do light waves. The wave character of light leads to an intriguing phenomenon when a beam of light goes through a focus: the wave front gains an extra phase π known as the Gouy phase. We have shown that an analogous effect takes place when electrons move away from their parent ion after ionization of an atom by a linearly polarized strong field. Because of the cylindrical symmetry of the problem and the attractive Coulomb force, part of the electron trajectories go through a focus and gain a phase of π/2 relative to other, unfocused trajectories. In the measurable final momentum distribution of the electrons, the phase change is visible because of the interference between focused and unfocused trajectories (“holography”). This finding solves the long-standing problem that the momentum distributions could not be explained with simplified trajectory models. See our paper for quantitative results.
14 Jan 2018
How to define the time of an event in quantum mechanics:
Trajectory-free ionization times in strong-field ionization
Although time as an observable is a problematic quantity in quantum mechanics, it seems natural to ask a question such as: when does an electron leave an atom in the process of strong-field ionization. In the past, this question has usually been answered by approximating the ionization process with a model that involves electron trajectories so that an ionization time can be defined as the starting time of such a trajectory. We have found a way to define an ionization time without resorting to any sort of trajectory model, but instead by analysis of the exact Dyson integral, which is a way to rewrite a quantum mechanical amplitude in the form of a time integral. We define the ionization time as the saddle point of the integrand, i.e. it is that complex time where the time derivative vanishes. Details can be found in our paper.
29 June 2017
Experiment and theory on high-harmonic generation with molecules:
Attosecond Probing of Nuclear Dynamics with Trajectory-Resolved High-Harmonic Spectroscopy
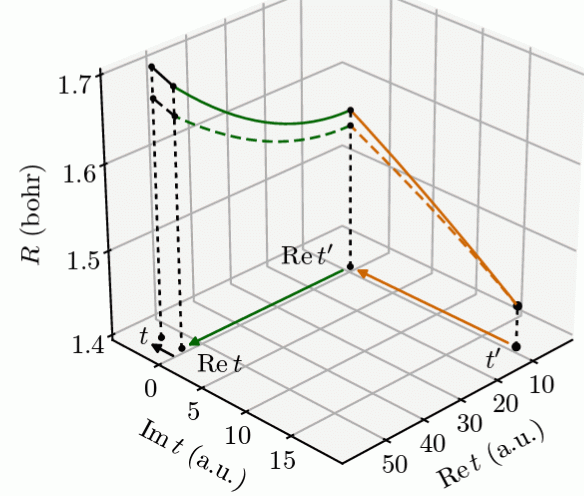
Irradiation of a molecule with a strong laser pulse can remove an electron, drive it back and let it recombine with the parent ion. Theory says that the intensity of the recombination radiation, known as high harmonics, is a measure of how much the nuclei have moved in the time between ionization and recombination. In an experiment carried out by our collaborators at Huazhong University of Science & Technology in China, the radiation is separated into the so-called short and long trajectories - two different types of electron paths that contribute to the same emission frequency. Compared to previous work, this means that the time range over which the dynamics of a molecule can be interrogated is enlarged from about 1 femtosecond to 2.5 femtoseconds while still allowing sub-femtosecond time resolution. Our theory for different isotopologues of hydrogen and ammonia molecules uses dynamics in complex time and agrees well with the experiment. The intuitive meaning of complex-time dynamics is that the molecule already undergoes a stretching motion while the outgoing electron is still on its way tunneling out from the bound state into the continuum. Details can be found in the paper.
5 Feb 2017
Our recent work on TDDFT:
Time-dependent density functional theory for strong-field ionization by circularly polarized pulses
We have investigated a two-dimensional model atom with a modified local-density approximation (LDA) in order to study the ionization behaviour of orbitals with angular momentum. The atom is filled with six electrons and can be viewed as a two-dimensional analogue of a rare-gas atom because the orbitals with magnetic quantum numbers m=-1 and m=1 are completely occupied. We find that the orbital ionization probability depends on the sense of rotation of the field. This confirms nicely earlier predictions by Ingo Barth and Olga Smirnova, based on analytical theory for the single-active-electron case. With our work, we give the first numerical demonstration of this effect for a multielectron system. See the published article.

